Label-free 3D brightfield microscopy offers a fast and noninvasive way to visualize cellular morphology, yet robust volumetric segmentation still typically depends on fluorescence or heavy post-processing. We address this gap by introducing Bright-4B, a 4 billion parameter foundation model that learns on the unit hypersphere to segment subcellular structures directly from 3D brightfield volumes. Bright-4B combines a hardware-aligned Native Sparse Attention mechanism (capturing local, coarse, and selected global context), depth-width residual HyperConnections that stabilize representation flow, and a soft Mixture-of-Experts for adaptive capacity. A plug-and-play anisotropic patch embed further respects confocal point-spread and axial thinning, enabling geometry-faithful 3D tokenization. The resulting model produces morphology-accurate segmentations of nuclei, mitochondria, and other organelles from brightfield stacks alone--without fluorescence, auxiliary channels, or handcrafted post-processing. Across multiple confocal datasets, Bright-4B preserves fine structural detail across depth and cell types, outperforming contemporary CNN and Transformer baselines. All code, pretrained weights, and models for downstream finetuning will be released to advance large-scale, label-free 3D cell mapping.
One of the main limitations of multirotor UAVs is their short flight time due to battery constraints. A practical solution for continuous operation is to power the drone from the ground via a tether. While this approach has been demonstrated for stationary systems, scenarios with a fast-moving base vehicle or strong wind conditions require modeling the tether forces, including aerodynamic effects. In this work, we propose two complementary approaches for real-time quasi-static tether modeling with aerodynamics. The first is an analytical method based on catenary theory with a uniform drag assumption, achieving very fast solve times below 1ms. The second is a numerical method that discretizes the tether into segments and lumped masses, solving the equilibrium equations using CasADi and IPOPT. By leveraging initialization strategies, such as warm starting and analytical initialization, real-time performance was achieved with a solve time of 5ms, while allowing for flexible force formulations. Both approaches were validated in real-world tests using a load cell to measure the tether force. The results show that the analytical method provides sufficient accuracy for most tethered UAV applications with minimal computational cost, while the numerical method offers higher flexibility and physical accuracy when required. These approaches form a lightweight and extensible framework for real-time tether simulation, applicable to both offline optimization and online tasks such as simulation, control, and trajectory planning.
Structured data extraction from tables plays a crucial role in document image analysis for scanned documents and digital archives. Although many methods have been proposed to detect table structures and extract cell contents, accurately identifying table segment boundaries (rows and columns) remains challenging, particularly in low-resolution or noisy images. In many real-world scenarios, table data are incomplete or degraded, limiting the adaptability of transformer-based methods to noisy inputs. Mask-based edge detection techniques have shown greater robustness under such conditions, as their sensitivity can be adjusted through threshold tuning; however, existing approaches typically apply masks directly to images, leading to noise sensitivity, resolution loss, or high computational cost. This paper proposes a novel multi-scale signal-processing method for detecting table edges from table masks. Row and column transitions are modeled as one-dimensional signals and processed using Gaussian convolution with progressively increasing variances, followed by statistical thresholding to suppress noise while preserving stable structural edges. Detected signal peaks are mapped back to image coordinates to obtain accurate segment boundaries. Experimental results show that applying the proposed approach to column edge detection improves Cell-Aware Segmentation Accuracy (CASA) a layout-aware metric evaluating both textual correctness and correct cell placement from 67% to 76% on the PubLayNet-1M benchmark when using TableNet with PyTesseract OCR. The method is robust to resolution variations through zero-padding and scaling strategies and produces optimized structured tabular outputs suitable for downstream analysis.
Fluorescence Microcopy Calcium Imaging is a fundamental tool to in-vivo record and analyze large scale neuronal activities simultaneously at a single cell resolution. Automatic and precise detection of behaviorally relevant neuron activity from the recordings is critical to study the mapping of brain activity in organisms. However a perpetual bottleneck to this problem is the manual segmentation which is time and labor intensive and lacks generalizability. To this end, we present a Bayesian Deep Learning Framework to detect neuronal activities in 4D spatio-temporal data obtained by light sheet microscopy. Our approach accounts for the use of temporal information by calculating pixel wise correlation maps and combines it with spatial information given by the mean summary image. The Bayesian framework not only produces probability segmentation maps but also models the uncertainty pertaining to active neuron detection. To evaluate the accuracy of our framework we implemented the test of reproducibility to assert the generalization of the network to detect neuron activity. The network achieved a mean Dice Score of 0.81 relative to the synthetic Ground Truth obtained by Otsu's method and a mean Dice Score of 0.79 between the first and second run for test of reproducibility. Our method successfully deployed can be used for rapid detection of active neuronal activities for behavioural studies.
Conventional mobile networks, including both localized cell-centric and cooperative cell-free networks (CCN/CFN), are built upon rigid network topologies. However, neither architecture is adequate to flexibly support distributed integrated sensing and communication (ISAC) services, due to the increasing difficulty of aligning spatiotemporally distributed heterogeneous service demands with available radio resources. In this paper, we propose an elastic network topology (ENT) for distributed ISAC service provisioning, where multiple co-existing localized CCNs can be dynamically aggregated into CFNs with expanded boundaries for federated network operation. This topology elastically orchestrates localized CCN and federated CFN boundaries to balance signaling overhead and distributed resource utilization, thereby enabling efficient ISAC service provisioning. A two-phase operation protocol is then developed. In Phase I, each CCN autonomously classifies ISAC services as either local or federated and partitions its resources into dedicated and shared segments. In Phase II, each CCN employs its dedicated resources for local ISAC services, while the aggregated CFN consolidates shared resources from its constituent CCNs to cooperatively deliver federated services. Furthermore, we design a utility-to-signaling ratio (USR) to quantify the tradeoff between sensing/communication utility and signaling overhead. Consequently, a USR maximization problem is formulated by jointly optimizing the network topology (i.e., service classification and CCN aggregation) and the allocation of dedicated and shared resources. However, this problem is challenging due to its distributed optimization nature and the absence of complete channel state information. To address this problem efficiently, we propose a multi-agent deep reinforcement learning (MADRL) framework with centralized training and decentralized execution.
As the therapeutic target for Inflammatory Bowel Disease (IBD) shifts toward histologic remission, the accurate assessment of microscopic inflammation has become increasingly central for evaluating disease activity and response to treatment. In this work, we introduce IMILIA (Interpretable Multiple Instance Learning for Inflammation Analysis), an end-to-end framework designed for the prediction of inflammation presence in IBD digitized slides stained with hematoxylin and eosin (H&E), followed by the automated computation of markers characterizing tissue regions driving the predictions. IMILIA is composed of an inflammation prediction module, consisting of a Multiple Instance Learning (MIL) model, and an interpretability module, divided in two blocks: HistoPLUS, for cell instance detection, segmentation and classification; and EpiSeg, for epithelium segmentation. IMILIA achieves a cross-validation ROC-AUC of 0.83 on the discovery cohort, and a ROC-AUC of 0.99 and 0.84 on two external validation cohorts. The interpretability module yields biologically consistent insights: tiles with higher predicted scores show increased densities of immune cells (lymphocytes, plasmocytes, neutrophils and eosinophils), whereas lower-scored tiles predominantly contain normal epithelial cells. Notably, these patterns were consistent across all datasets. Code and models to partially replicate the results on the public IBDColEpi dataset can be found at https://github.com/owkin/imilia.
We present a weak to strong generalization methodology for fully automated training of a multi-head extension of the Mask-RCNN method with efficient channel attention for reliable segmentation of overlapping cell nuclei in multiplex cyclic immunofluorescent (IF) whole-slide images (WSI), and present evidence for pseudo-label correction and coverage expansion, the key phenomena underlying weak to strong generalization. This method can learn to segment de novo a new class of images from a new instrument and/or a new imaging protocol without the need for human annotations. We also present metrics for automated self-diagnosis of segmentation quality in production environments, where human visual proofreading of massive WSI images is unaffordable. Our method was benchmarked against five current widely used methods and showed a significant improvement. The code, sample WSI images, and high-resolution segmentation results are provided in open form for community adoption and adaptation.
Accurate nuclei segmentation in microscopy whole slide images (WSIs) remains challenging due to variability in staining, imaging conditions, and tissue morphology. We propose CellGenNet, a knowledge distillation framework for robust cross-tissue cell segmentation under limited supervision. CellGenNet adopts a student-teacher architecture, where a capacity teacher is trained on sparse annotations and generates soft pseudo-labels for unlabeled regions. The student is optimized using a joint objective that integrates ground-truth labels, teacher-derived probabilistic targets, and a hybrid loss function combining binary cross-entropy and Tversky loss, enabling asymmetric penalties to mitigate class imbalance and better preserve minority nuclear structures. Consistency regularization and layerwise dropout further stabilize feature representations and promote reliable feature transfer. Experiments across diverse cancer tissue WSIs show that CellGenNet improves segmentation accuracy and generalization over supervised and semi-supervised baselines, supporting scalable and reproducible histopathology analysis.




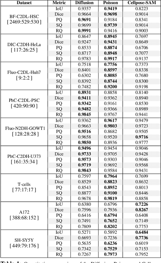
We investigate image segmentation of cells under the lens of scalar fields. Our goal is to learn a continuous scalar field on image domains such that its segmentation produces robust instances for cells present in images. This field is a function parameterized by the trained network, and its segmentation is realized by the watershed method. The fields we experiment with are solutions to the Poisson partial differential equation and a diffusion mimicking the steady-state solution of the heat equation. These solutions are obtained by minimizing just the field residuals, no regularization is needed, providing a robust regression capable of diminishing the adverse impacts of outliers in the training data and allowing for sharp cell boundaries. A single tensor is all that is needed to train a \unet\ thus simplifying implementation, lowering training and inference times, hence reducing energy consumption, and requiring a small memory footprint, all attractive features in edge computing. We present competitive results on public datasets from the literature and show that our novel, simple yet geometrically insightful approach can achieve excellent cell segmentation results.




We present Glioma C6, a new open dataset for instance segmentation of glioma C6 cells, designed as both a benchmark and a training resource for deep learning models. The dataset comprises 75 high-resolution phase-contrast microscopy images with over 12,000 annotated cells, providing a realistic testbed for biomedical image analysis. It includes soma annotations and morphological cell categorization provided by biologists. Additional categorization of cells, based on morphology, aims to enhance the utilization of image data for cancer cell research. Glioma C6 consists of two parts: the first is curated with controlled parameters for benchmarking, while the second supports generalization testing under varying conditions. We evaluate the performance of several generalist segmentation models, highlighting their limitations on our dataset. Our experiments demonstrate that training on Glioma C6 significantly enhances segmentation performance, reinforcing its value for developing robust and generalizable models. The dataset is publicly available for researchers.